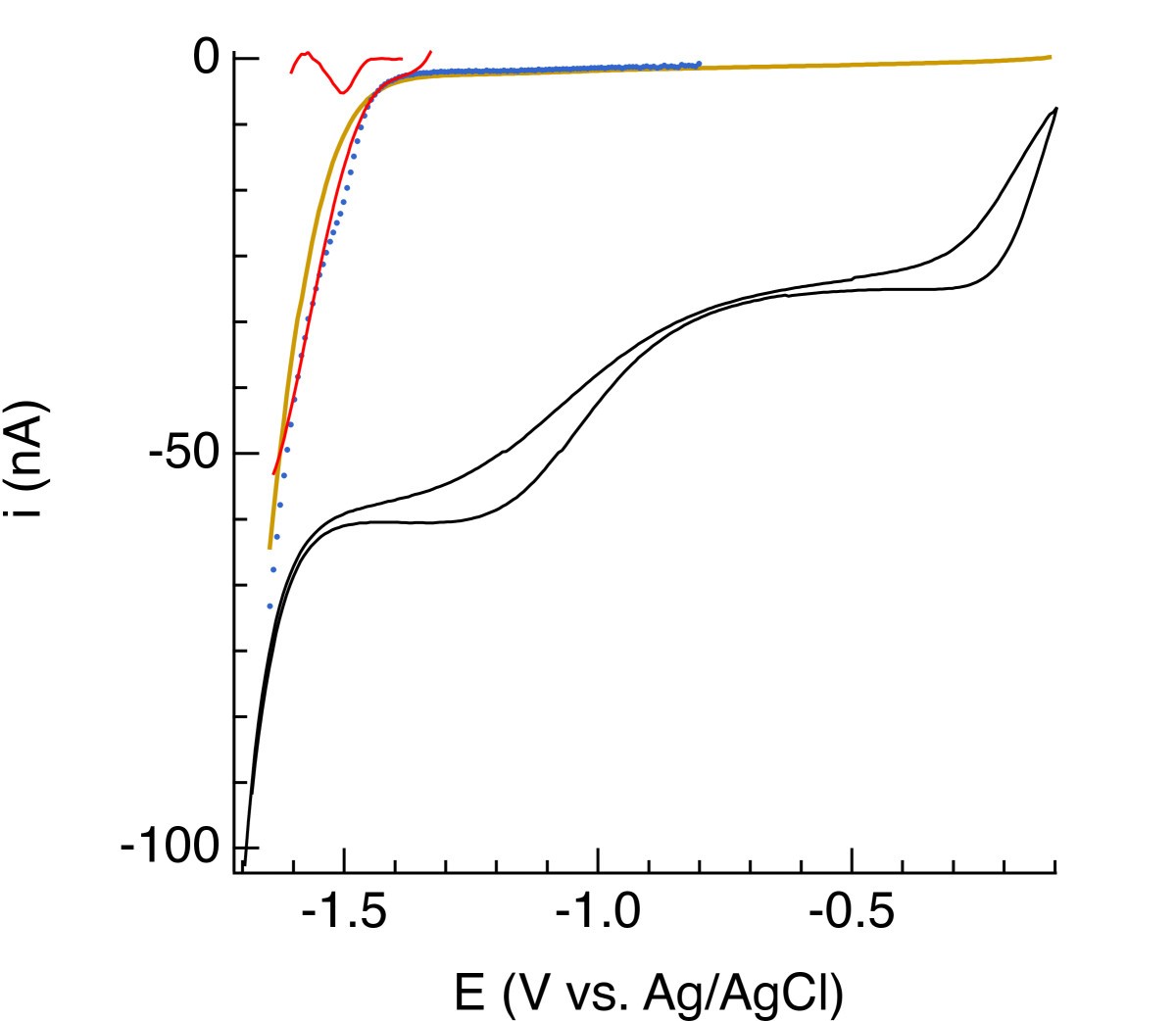
Figure 1

The black line is a cyclic voltammogram showing current ( i , in nanoamperes) versus potential ( E , in volts) during reduction of O 2 to H 2 O 2 and H 2 O 2 to H 2 O in artificial seawater equilibrated with air at 20°C. The brown line is a linear sweep voltammogram (LSV) of deaerated seawater. The dotted blue line is an LSV of deaerated seawater containing 110 μM Mn(II), fit by a 4th-order polynomial to yield a peak representing the faradaic Mn(II) current shown in red.